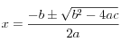
Ecco una filastrocca,
X uguale, com’é qui?
X uguale a meno bi.
più e meno radice di
biquadro meno quattro accì
tutto fratto -chi lo sa?-
tutto fratto due a.
Marcello De Vita si occupa di insegnamento della matematica e della fisica, informatica, formazione, pedagogia. Il sito nasce per condividere riflessioni e materiali, e come strumento di lavoro cooperativo. Benvenut3
Ecco una filastrocca,
X uguale, com’é qui?
X uguale a meno bi.
più e meno radice di
biquadro meno quattro accì
tutto fratto -chi lo sa?-
tutto fratto due a.
Conoscendo l’equazione della parabola con vertice nell’origine del sistema cartesiano:
(1)
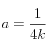
con con
distanza tra vertice e fuoco della parabola.
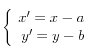
e conoscendo le equazioni di una traslazione del sistema di coordinate da a
... | 130 | 135 | 140 | 145 | 150 | 155 | 160 | 165 | 170 | 175